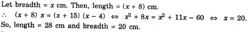
21.The length of a blackboard is 8 cm more than its breadth. If the length is increased by 7 cm and breadth is decreased by 4 cm, the area remains the same. The length and breadth of the blackboard (in cm) will be : A) 28, 20 B) 34, 26 C) 40, 32 D) 56, 48 View Answer Report DiscussAnswer: Option AExplanation:
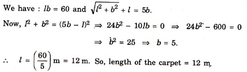
22.A rectangular carpet has an area of 60 sq. m. If its diagonal and longer side together equal 5 times the shorter side, the length of the carpet is : A) 5m B) 12m C) 13m D) 14.5m View Answer Report DiscussAnswer: Option BExplanation:
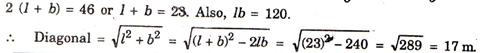
23.A rectangular carpet has an area of 120 sq. metres and a perimeter of 46 metres. The length of its diagonal is : A) 15m B) 16m C) 17m D) 20m View Answer Report DiscussAnswer: Option CExplanation:
24.A courtyard 25 m long and 16 m broad is to be paved with bricks of dimensions 20 cm by 10 cm. The total number of bricks required is : A) 18000 B) 20000 C) 25000 D) None of these View Answer Report DiscussAnswer: Option BExplanation:
25.A large field of 700 hectares is divided into two parts. The difference of the areas of the two parts is one-fifth of the average of the two areas. What is the area of the smaller part in hectares ? A) 225 B) 280 C) 300 D) 315 View Answer Report DiscussAnswer: Option DExplanation: