12345>>
1.

If the radius of a circle is increased by 75%, then its circumference will increase by :


A) 25%

B) 50%

C) 75%

D) 100%



2.

An equilateral triangle, a square and a circle have equal perimeters. If $T$, denotes the area of the triangle, $S$, the area of the square and $C$, the area of the circle, then :


A) $S<T<C$

B) $T<C<S$

C) $T<S<C$

D) $C>S>T$



3.

There are 4 semi-circular gardens on each side of a square-shaped pond with each side 21m. The cost of fencing the entire plot at the rate of Rs 12.50 per metre is :


A) Rs. 1560

B) Rs. 1650

C) Rs. 3120

D) Rs. 3300



4.

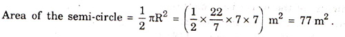
What will be the area of a semi-circle of 14 m diameter ?


A) 22 m^2

B) 77 m^2

C) 154 m^2

D) 308 m^2

E) None of these



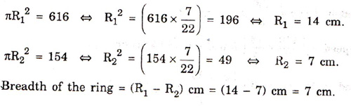
5.

The areas of two concentric circles forming a ring are 154 sq. cm and 616 sq. cm. The breadth of the ring is :


A) 7cm

B) 14cm

C) 21cm

D) 28cm



12345>>