6.From a group of 7 men and ,6 women, five persons are to be selected to form a committee so that at least 3 men are there on the committee. In how many ways car. it be done ? A) 564 B) 645 C) 735 D) 756 E) None of these View Answer Report DiscussAnswer: Option DExplanation:
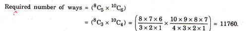
7.In how many ways a committee, consisting of 5 men and 6 women can be formed from 8 men and 10 women ? A) 266 B) 5040 C) 11760 D) 86400 E) None of these View Answer Report DiscussAnswer: Option CExplanation:
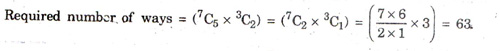
8.In how many ways can a group of 5 men and 2 women he made out of a total of 7 men and 3 women ? A) 63 B) 90 C) 126 D) 45 E) 135 View Answer Report DiscussAnswer: Option AExplanation:
9.In how many different ways can the letters of the word 'MACHINE' be arranged so that the vowels may occupy only the odd positions ? A) 210 B) 576 C) 144 D) 1728 E) 3456 View Answer Report DiscussAnswer: Option BExplanation:
10.In how many different ways can the letters of the word 'DETAIL' be arranged in such a way that the vowels occupy only the odd positions ? A) 32 B) 48 C) 36 D) 60 E) 120 View Answer Report DiscussAnswer: Option CExplanation: