12345>>
1.

A man and his wife appear in an interview for two vacancies in the same post. The probability of husband's selection is (1/7) and the probability of wife's selection is (1/5). What is the probability that only one of them is selected ?


A) 4/5

B) 2/7

C) 8/15

D) 4/7



2.

A speaks truth in 75% cases and B in 80% of the cases. In what percentage of cases are they likely to contradict each other, narrating the same incident ?


A) 5%

B) 15%

C) 35%

D) 45%



3.

Two dice are tossed. The probability that the total score is a prime number is :


A) 1/6

B) 5/12

C) 1/2

D) 7/9



4.

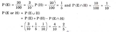
In a class, 30% of the students offered English, 20% offered Hindi and 10% offered both. If a student is selected at random, what is the probability that he. has offered English or Hindi ?


A) 2/5

B) 3/4

C) 3/5

D) 3/10



5.

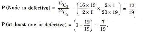
A box contains 20 electric bulbs, out of which 4 are defective. Two bulbs are chosen at random from this box. The probability that at least one of these is defective, is :


A) 4/19

B) 7/19

C) 12/19

D) 21/95



12345>>