<<23456>>
21.

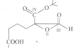
Reagent(s)  which  can be  used to bring about the following transformation is (are)

1622021328_chemistry 27.JPG


A) $LiAlH_{4} in (C_{2}H_{5})_{2}O$

B) $BH_{3}$ in THF

C) $NaBH_{4}$ in $C_{2}H_{5}OH$

D) Raney $Ni/H_{2}$ in THF



22.

The correct statement (s) for cubic close packed (ccp) three dimensional structure is (are)


A) The number of the nearest neighbours of an atom present in the topmost layer is 12

B) The packing efficiency of atom is 74%

C) The number of octahedral and tetrahedral voids per atom are 1 and 2, respectively

D) The unit cell edge length is $2\sqrt{2}$ times the radius of the atom.



23.

According to molecular orbital theory, which of the following statement(s) is (are) correct?


A) $C^{2-}_{2}$ is expected to be diamagnetic

B) $O^{2+}_{2}$ expected to have a longer bond length than $O_{2}$

C) $N^{+}_{2}$ and $N^{-}_{2}$ have the same bond order

D) $He^{+}_{2}$ has the same energy as two isolated He atoms



24.

For the following electrochemical cell at 298 K,

$Pt(s) | H_{2}(g,1bar) | H^{+}(aq,1M) $

                                    $|| M^{4+}(aq), M^{2+}(aq)| Pt (s)$

$E_{cell}$=0.092 V

$when \frac{[M^{2+}(aq)]}{[M^{4+}(aq)]}=10^{x}$

Given:  $E^{0}_{M^{4+/}M^{2^{+}}}=0.15V:$

$2.303 \frac{RT}{F}=0.059 V$

 The value of x is


A) -2

B) -1

C) 1

D) 2



25.

The geometries of the ammonia  complexes of Ni2+, Pt2+ and Zn2+ respectively are


A) octahedral, square planar and tetrahedral

B) square planar, octahederal and tetrahedral

C) tetrahedral, square planar and octahedral

D) octahedral, tetrahedral and square planar



<<23456>>