<<12345>>
6.

Galvanisation is applying a coating of


A) Cr

B) Cu

C) Zn

D) Pb



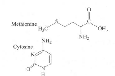
7.

The thiol group is present in


A) cystine

B) cysteine

C) methionine

D) cytosine



8.

The pair in which phosphorus atoms have a formal oxidation state of +3 is 


A) pyrophosphorous and hypophosphoric acids

B) orthophosphorous and hypophosphoric acids

C) pyrophosphorous and pyrophosphoric acids

D) orthophosphorous and pyrophosphorous acids



9.

The main oxides formed on combustion of Li, Na, and K in excess of air respectively are


A) $LiO_{2}$,$Na_{2}O_{2}$and $K_{2}O$

B) $Li_{2}O_{2}$,$Na_{2}O_{2}$and$ KO_{2}$

C) $Li_{2}O$,$Na_{2}O_{2}$ and $KO_{2}$

D) $Li_{2}O$ ,$Na_{2}O$ and $KO_{2}$



10.

At 300 K and I atm, 15 mL of a gaseous hydrocarbon requires 375 mL air containing 20% O2 by volume for complete combustion. After combustion, the gases occupy 330 mL. Assuming that the water formed is in liquid form and the volumes were measured at the same temperature and pressure, the formula of the hydrocarbon is


A) $C_{3}H_{8}$

B) $C_{4}H_{8}$

C) $C_{4}H_{10}$

D) None



<<12345>>