26.The sides of a rectangular field are in the ratio 3 : 4. If the area of the field is 7500 sq. m, the cost of fencing the field @ 25 paise per metre is : A) Rs. 55.50 B) Rs. 67.50 C) Rs. 86.50 D) Rs. 87.50 View Answer Report DiscussAnswer: Option DExplanation:
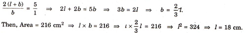
27.The ratio between the perimeter and the breadth of a rectangle is 5 : 1. If the area of the rectangle is 216 sq. cm, what is the length of the rectangle ? A) 16 cm B) 18 cm C) 24 cm D) Data inadequate E) None of these View Answer Report DiscussAnswer: Option BExplanation:
28.The area of a rectangle is 460 square metres. If the length is 15% more than the breadth, what is the breadth of the rectangular field ? A) 15 metres B) 26 metres C) 34.5 metres D) Cannot be determined E) None of these View Answer Report DiscussAnswer: Option EExplanation:
29.The ratio between the length and the breadth of a rectangular park is 3 : 2. If a man cycling along the boundary of the park at the speed of 12 km / hr completes one round in 8 minutes, then the area of the park (in sq. m) is : A) 15360 B) 153600 C) 30720 D) 307200 View Answer Report DiscussAnswer: Option BExplanation:
30.The breadth of a rectangular field is 60% of its length. If the perimeter of the field is 800 m, what is the area of the field ? A) 18750 sq. m B) 37500 sq. m C) 40000 sq. m D) 48000 sq. m View Answer Report DiscussAnswer: Option BExplanation: