1.The banker's gain on a certain sum due 1(1/2) years hence is 3/25 of the banker's discount.The rate percent is : A) 5(1/5)% B) 9(1/9)% C) 8(1/8)% D) 6(1/6)% View Answer Report DiscussAnswer: Option BExplanation:
2.The banker's discount on a certain sum due 2 years hence is 11/10 of the true discount.The rate percent is : A) 11% B) 10% C) 5% D) 5.5% View Answer Report DiscussAnswer: Option CExplanation:
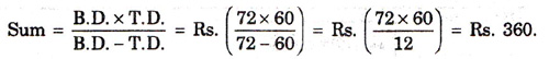
3.The banker's discount of a certain sum of money is Rs. 72 and the true discount on the same sum for the same time is Rs. 60. The sum due is : A) Rs. 360 B) Rs. 432 C) Rs. 540 D) Rs.1080 View Answer Report DiscussAnswer: Option AExplanation:
4.The banker's discount on a sum of money for 1(1/2) years is Rs. 558 and the true discount on the same sum for 2 years is Rs. 600. The rate percent is : A) 10% B) 13% C) 12% D) 15% View Answer Report DiscussAnswer: Option CExplanation:
5.The banker's discount on Rs. 1600 at 15% per annum is the same as true discount on Rs. 1680 for the same time and at the same rate. The time is : A) 3 months B) 4 months C) 6 months D) 8 months View Answer Report DiscussAnswer: Option BExplanation: