<<34567>>
26.

In a simultaneous throw of two dice, what is the probability of getting a total of 10 or 11 ?


A) 1/4

B) 1/6

C) 7/12

D) 5/36



27.

In a simultaneous throw of two dice, what is the probability of getting a doublet ?


A) 1/6

B) 1/4

C) 2/3

D) 3/7



28.

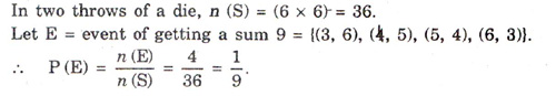
What is the probability of getting a sum 9 from two throws of a dice ?


A) 1/6

B) 1/8

C) 1/9

D) 1/12



29.

In a simultaneous throw of two dice, what is the probability of getting a total of 7 ?


A) 1/6

B) 1/4

C) 2/3

D) 3/4



30.

In a single throw of a die, what is the probability of getting a number greater than 4 ?


A) 1/2

B) 1/3

C) 2/3

D) 1/4



<<34567>>