11.The length and breadth of a square are increased by 40% and 30% respectively. The area of the resulting rectangle exceeds the area of the square by : A) 35% B) 42% C) 62% D) 82% View Answer Report DiscussAnswer: Option DExplanation:
12.If the area of a square increases by 69%, then the side of the square increases by : A) 13% B) 30% C) 39% D) 69% View Answer Report DiscussAnswer: Option BExplanation:
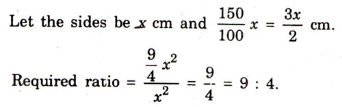
13.If each side of a square is increased by 50%, the ratio of the area of the resulting square to that of the given square is : A) 4 : 5 B) 5:4 C) 4:9 D) 9:4 View Answer Report DiscussAnswer: Option DExplanation:
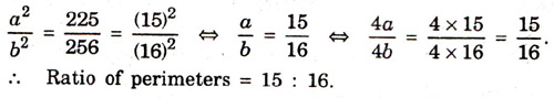
14.If the ratio of areas of two squares is 225 : 256, then the ratio of their perimeters is : A) 225 : 256 B) 256 : 225 C) 15 : 16 D) 16 : 15 View Answer Report DiscussAnswer: Option CExplanation:
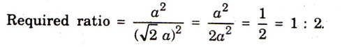
15.The ratio of the area of a square to that of the square drawn on its diagonal, is : A) 1:2 B) 2:3 C) 3:4 D) 4:5 View Answer Report DiscussAnswer: Option AExplanation: