6.The present worth of a sum due sometime hence is Rs. 576 and the banker's gain is Rs. 16. The true discount is : A) Rs. 36 B) Rs. 72 C) Rs. 48 D) Rs. 96 View Answer Report DiscussAnswer: Option DExplanation:
7.The banker's gain on a sum due 3 years hence at 12% per annum is Rs. 270. The banker's discount is : A) Rs. 960 B) Rs. 840 C) Rs.1020 D) Rs. 760 View Answer Report DiscussAnswer: Option CExplanation:
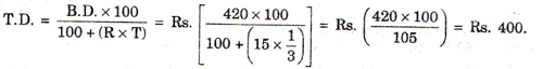
8.The banker's discount on a bill due 4 months hence at 15% is Rs. 420. The true discount is : A) Rs. 400 B) Rs. 360 C) Rs. 480 D) Rs. 320 View Answer Report DiscussAnswer: Option AExplanation:
9.The banker's gain on a bill due 1 year hence at 12% per annum is Rs. 6. The true discount is : A) Rs. 72 B) Rs.36 C) Rs. 54 D) Rs. 50 View Answer Report DiscussAnswer: Option DExplanation:
10.The banker's gain of a certain sum due 2 years hence at 10% per annum is Rs. 24. The present worth is : A) Rs. 480 B) Rs. 520 C) Rs. 600 D) Rs.960 View Answer Report DiscussAnswer: Option CExplanation: