Answer:
Option A
Explanation:
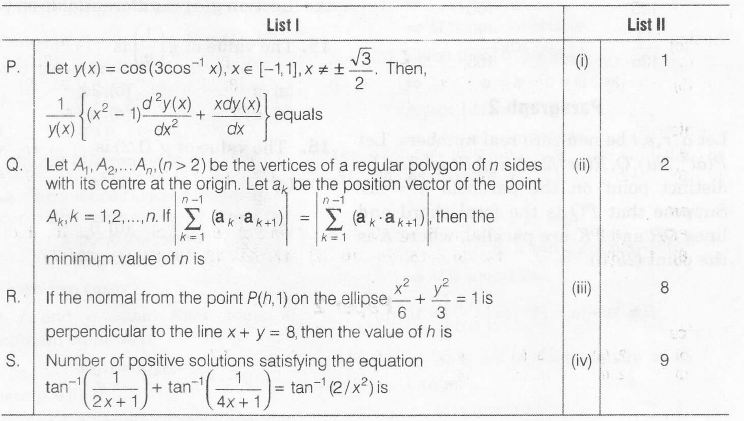
(P) $y=\cos (3\cos^{-1}x)$
$y'=\frac{3 \sin(3\cos^{-1}x)}{\sqrt{1-x^{2}}}$
$\sqrt{1-x^{2}}y'=3\sin (3\cos ^{-1}x)$
$\Rightarrow$ $ \frac{-x}{\sqrt{1-x^{2}}}y'+\sqrt{1-x^{2}} $ y''
= $3\cos (3\cos^{-1}x).\frac{-3}{\sqrt{1-x^{2}}} $
$\Rightarrow $ $-xy'+(1-x^{2})y''=-9y $
$\Rightarrow $ $\frac{1}{y}[(x^{2}-1)y'+xy']=9$
(Q) Plan
(i) Angle subtended by a side of n sided regular polygon at the centre = $\frac{2\pi}{n}$
(ii) |a xb|=|a||b| $\sin\theta$
(iii) |a.b|=|a||b| $\cos\theta$
(iv) $\tan\theta=\tan\alpha\Rightarrow\theta=n\pi+\alpha,n\epsilon Z$
consider a polygon of (S) n sides with centre at origin

Let |OA1|=|OA2|=......|OAn|
=r(say)
|ak x ak+1|= $r^{2}\sin\frac{2\pi}{n}$
|ak .ak+1|= $r^{2}\cos\frac{2\pi}{n}$
$\Rightarrow |\sum_{k=1}^{n-1}a_{k}\times a_{k+1}|=|\sum_{k=1}^{n-1} a_{k}.a_{k+1}|$
$\Rightarrow$ $ r^{2}(n-1)\sin\frac{2\pi}{n}=r^{2}(n-1)\cos \frac{2\pi}{n}$
$\tan \frac{2\pi}{n}=1$
$\Rightarrow$ $\tan \frac{2\pi}{n}=\tan\frac{\pi}{4}$
$\Rightarrow$ $\frac{2\pi}{n}=t\pi+\frac{\pi}{4},t\epsilon Z$
$\Rightarrow$ $\frac{2}{n}=\frac{4t+1}{4}$
$\Rightarrow$ $ n=\frac{8}{4t+1},t\epsilon Z$
$\Rightarrow$ the minimum value of n=8
(R) Plan Equation of normal at the point
$(a \cos\theta,b\sin\theta)$ of ellipse $\frac{x^{2}}{a^{2}}+\frac{y^{2}}{b^{2}}=1$ is
given by
$ax \sec\theta-bycosec\theta=a^{2}-b^{2}$
Equation of normal is
$\sqrt{6}x\sec\theta-\sqrt{3}y cosec \theta=3$
Its slope is
$\frac{\sqrt{6}sec\theta}{\sqrt{3}cosec \theta}=1$
( $\therefore$ slope of normal = slope of line perpendicular to
x+y=8
$\tan\theta=\frac{1}{\sqrt{2}}$
So, normal is
$\sqrt{6}\times\frac{\sqrt{3}}{\sqrt{2}}-\sqrt{3}\times\sqrt{3}y=3$
3x-3y=3
$\Rightarrow$ x-y=1
As it passes through (h,l)
So, h-1=1
h=2
(S) Plan
$\tan^{-1}x+\tan^{-1} y=\tan^{-1}\left(\frac{x+y}{1-xy}\right)$
Given equation,
$\tan^{-1} \left(\frac{1}{2x+1}\right)+\tan^{-1} \left(\frac{1}{4x+1}\right)=\tan^{-1} \left(\frac{2}{x^{2}}\right)$
= $\tan^{-1} \left(\frac{\frac{1}{2x+1}+\frac{1}{4x+1}}{1-\frac{1}{(2x+1)(4x+1)}}\right)=\tan^{-1} \left(\frac{2}{x^{2}}\right)$
$\Rightarrow \tan^{-1}\left(\frac{6x+2}{(2x+1)(4x+1)-1}\right)= \tan^{-1}\left(\frac{2}{x^{2}}\right)$
$\Rightarrow$ $ \frac{3x+1}{4x^{3}+3x}=\frac{2}{x^{2}}$
$\Rightarrow $ $3x^{3}+x^{2}=8x^{2}+6x$
$\Rightarrow$ $ x(3x^{2}-7x-6)=0$
$\Rightarrow $ $x(x-3)(3x+2)=0$
$\Rightarrow $ $x=0,\frac{-2}{3},3$
So, only positive solution is x=3
P:(iv), Q:(iii), R:(ii), S(i)