<<234567>>
21.

EDTA4-   is an ethylenediaminetetraacetate ion. The total number of N-Co-O  bond angles in [Co(EDTA)]- complexion is 


A) 6

B) 7

C) 8

D) 9



22.

 The atomic masses of He and Ne are 4 and 20 amu, respectively. The value of the de-Broglie wavelength of He gas at -73° C is "M"  times that of the de-Broglie wavelength of Ne at 727° C. M is 


A) 3

B) 5

C) 4

D) 2



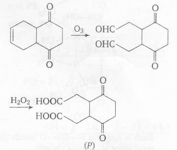
23.

The total number of carboxylic acid groups in the product P is 

104202177_c4.JPG


A) 2

B) 3

C) 1

D) 4



24.

  The total number of lone-pairs of electrons in melamine is


A) 5

B) 4

C) 6

D) 2



25.

Among P, Q, R, S, the aromatic compound (s) is/are 

1042021664_c3.JPG


A) P

B) Q

C) R

D) S



<<234567>>